Caribbean Tables
Table showing total forest area (kmē) and the area of the amount protected in each Country.
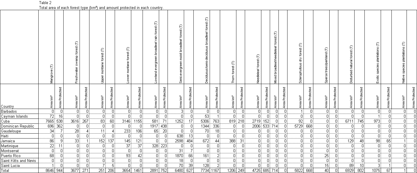
Table showing the total area of each forest type (kmē) and the area of the amount protected in each country.
Table showing the total area of each forest type (kmē) in each ecological zone, and the area of the amount protected.
Table showing the total area of each ecological zone, percentage of each zone containing forest and the percentage of each zone with protected forest.

Go back to previous page.