Botany online 1996-2004. No further update, only historical document of botanical science!
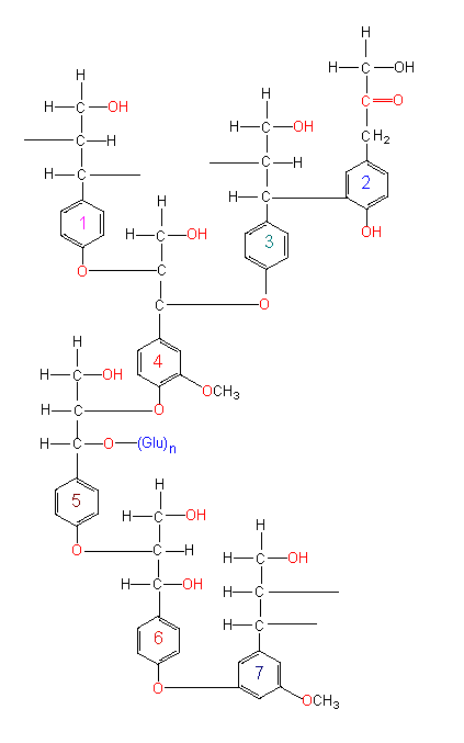
Lignin of Spruce |
It consists mainly of coniferyl alcohol residues, for a minor part of coumaryl alcohol residues. Shown is a detail of the three-dimensional network of this polymer (according to K. FREUDENBERG and A. C. NEISH, 1968)
