Botanik online 1996-2004. Die Seiten werden nicht mehr bearbeitet, sie bleiben als historisches Dokument der botanischen Wissenschaft online erhalten!


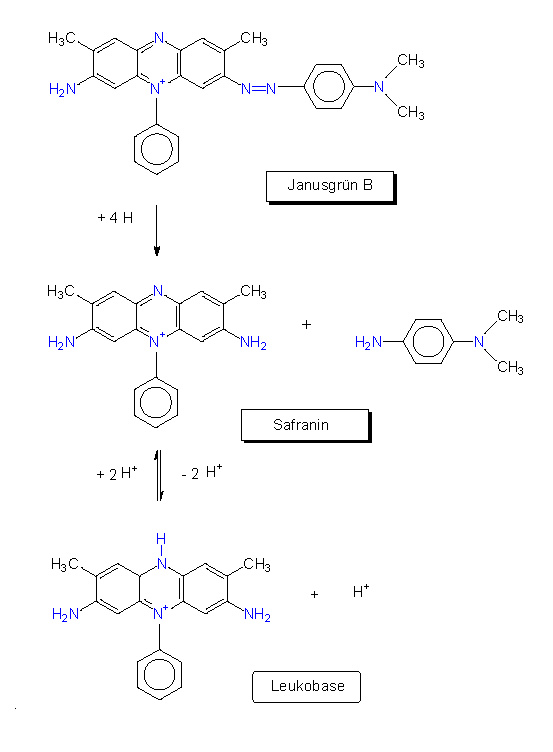
Janusgrün B - Safranin

© Peter v. Sengbusch - Impressum