Botanik online 1996-2004. Die Seiten werden nicht mehr bearbeitet, sie bleiben als historisches Dokument der botanischen Wissenschaft online erhalten!


Sexuallockstoffe (Gamone) der Braunalgen

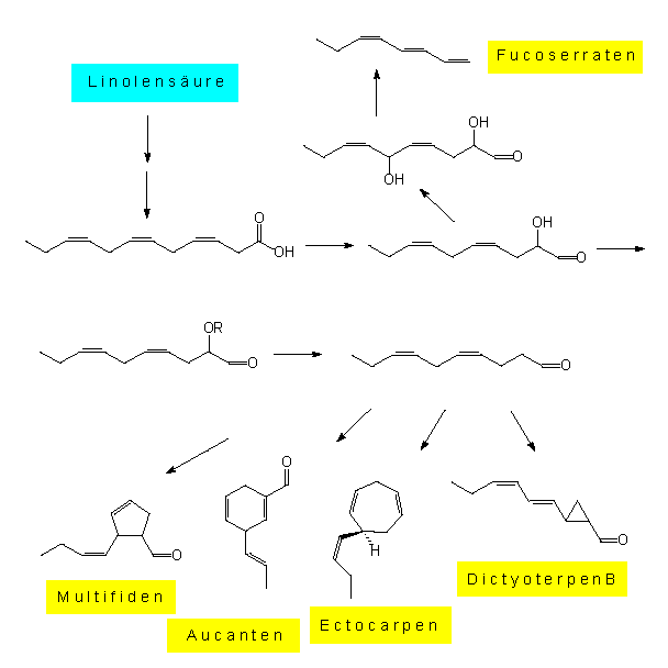
Biosynthese und strukturelle Verwandtschaft der Verbindungen, die aus verschiedenen Arten gewonnen wurden und deren Wirkung artspezifisch ist (Nach L. JAENICKE, 1977).

© Peter v. Sengbusch - Impressum