Botanik online 1996-2004. Die Seiten werden nicht mehr bearbeitet, sie bleiben als historisches Dokument der botanischen Wissenschaft online erhalten!
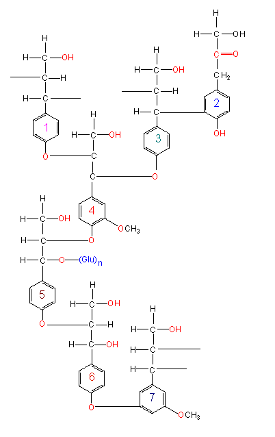
Lignin der Fichte |
Es besteht vornehmlich aus Coniferylalkoholresten, zu einem geringeren Teil aus Cumarylalkoholresten. Dargestellt ist ein kleiner Ausschnitt aus dem dreidimensionalen Netzwerk dieses Polymers (Nach K. FREUDENBERG und A. C. NEISH, 1968).
