European Tables

Table 1

Table showing total forest area (kmē) and the area of the amount protected in each Country.

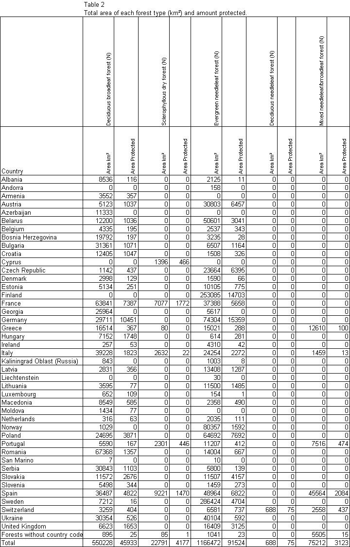
Table 2

Table showing the total area of each forest type (kmē) and the area of the amount protected in each country.

Table 3

Table showing the total area of each forest type (kmē) in each ecological zone, and the area of the amount protected.

Table 4

Table showing the total area of each ecological zone, percentage of each zone containing forest and the percentage of each zone with protected forest.




Back to Introduction